¿Cuáles son los Tipos de Permeámetro en Mecánica de Suelos?
Tipos de Permeámetros en Mecánica de Suelos
¿Alguna vez te has preguntado cómo se determina la permeabilidad de los suelos en un laboratorio?
En la ingeniería geotécnica, existen métodos específicos para evaluar esta propiedad fundamental del suelo.
Aquí aprenderás los diferentes tipos de permeámetros utilizados en los estudios de mecánica de suelos dentro del laboratorio
¿Qué son los Permeámetros?
Los permeámetros son dispositivos utilizados en los laboratorios de suelos para determinar el coeficiente de permeabilidad, k. En general, los permeámetros están conformados por dos piedras porosas y el suelo que se desea evaluar, esta configuración del permeámetro está dada por las piedras porosas en los extremos y el suelo se encuentra en el medio.


Los permeámetros se dividen en dos tipos principales dentro del laboratorio: el permeámetro de carga constante y el permeámetro de carga variable. Los cuales difieren en la forma en que aplican la carga hidráulica durante el ensayo.
El permeámetro de carga constante mantiene un flujo estable, mientras que el de carga variable varía la carga en función del tiempo. La elección entre uno y otro depende del tipo de suelo bajo estudio y las características específicas del terreno.
Tipos de Permeámetro dentro de los Laboratorios de Suelos
Permeámetro de Carga Constante
Este ensayo de laboratorio se emplea para estimar el coeficiente de permeabilidad de forma directa, principalmente en suelos granulares.
El procedimiento consiste en mantener un nivel de carga constante como su nombre lo indica, regulando el flujo de agua en el permeámetro para que la diferencia entre la entrada y salida del agua se mantenga estable.
Luego de establecer este flujo constante se debe medir el caudal con ayuda de un matraz graduado, ya que con este se puede obtener el volumen de agua en un tiempo establecido, teniendo así el cálculo del caudal, Q:


Recordando la ecuación del coeficiente de permeabilidad a través de la Ley de Darcy y teniendo en cuenta que la carga hidráulica, longitud y área del suelo son constante, se puede determinar la conductividad hidráulica como:




Permeámetro de Carga Variable
En contraste, el permeámetro de carga variable se usa principalmente para suelos finos. Donde el caudal tiene una variación de la carga hidráulica en función del tiempo y el área para el cálculo de volumen es un valor constante (a).


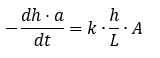
La ecuación del coeficiente de permeabilidad a través de la Ley de Darcy para permeámetros de carga variable se puede expresar como:


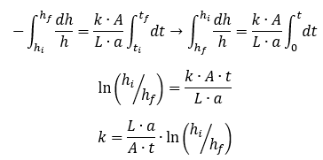
Esta expresión se resuelve a través de integrales debido al cambio existente en la carga hidráulica:


Demostrando así una gran diferencia al momento de determinar el coeficiente de permeabilidad a través de permeámetros de carga constante y permeámetros de carga variable.
Es crucial entender que estos métodos proporcionan una visión profunda de la conductividad hidráulica del suelo, permitiendo a los ingenieros geotécnicos comprender mejor cómo se comporta el agua en diferentes tipos de terrenos. Esta información es vital para una variedad de aplicaciones, desde el diseño de sistemas de drenaje hasta la planificación de cimentaciones, asegurando la estabilidad y durabilidad de las estructuras sobre distintos suelos.
En resumen, los permeámetros son herramientas esenciales en la mecánica de suelos, cada uno con su método único para evaluar la permeabilidad. Estos métodos no solo nos ayudan a entender los suelos, sino que también son fundamentales para el diseño y la construcción segura de infraestructuras en diversas condiciones del terreno. Entender los tipos de permeámetros y su aplicación es un paso significativo hacia una mejor comprensión de los suelos y sus propiedades hidráulicas.
Para más información sobre geotecnia y otros temas relacionados, ¡no dudes en visitar nuestro canal de YouTube!



Otros artículos que pueden ser de tu interés
